Primary tabs

Methyl cellulose manufacturer, Supplier in Visakhapatnam India.

Vizag chemical is an Methyl cellulose  manufacturer, Supplier in Visakhapatnam India. We are supplied into various industrial markets including Household, Institutional Cleaning, Personal Care, and Industrial sectors including Oil fields, Agriculture, Lubricants, Marine Industry, Metal Working chemical industry, and Coatings markets.

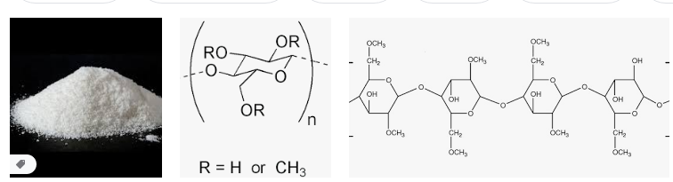
Methyl cellulose (or methylcellulose) is a chemical compound derived from cellulose. It is sold under a variety of trade names and is used as a thickener and emulsifier in various food and cosmetic products, and also as a bulk-forming laxative. Like cellulose, it is not digestible, not toxic, and not an allergen.

Methylcellulose is gaining a grip on initiatives working in various sectors. A crucial reason for this acceptance of methylcellulose is its non-allergic and non-irritating nature. At the same time, this chemical embraces zero toxicity. The global methyl cellulose market is emerging on the back of augmented demand from the food and beverages industry. A key reason for this development is nurturing applications of methylcellulose in food as an emulsifier, thickener, stabilizer, binder, and gelling agent.

Thickener and emulsifier

Methyl cellulose is very occasionally added to hair shampoos, toothpastes and liquid soaps, to generate their characteristic thick consistency. This is also done for foods, for example, ice cream or croquette. Methyl cellulose is also an important emulsifier, preventing the separation of two mixed liquids because it is an emulsion stabilizer.

Methyl cellulose is also used as a paint rheological modifier to prevent paint sagging.

Lubricant

Methyl cellulose may be used in personal lubricant.

Construction materials

Methyl cellulose finds a major application as a performance additive in construction materials.

Glue and binder

Methyl cellulose can be employed as a mild glue which can be washed away with water. This may be used in the fixing of delicate pieces of art as well as in book conservation to loosen and clean off old glue from spines and book boards.

Methyl cellulose is the main ingredient in many wallpaper pastes. It is also used as a binder in pastel crayons and also as a binder in medications.

Paper and textile sizing

Methyl cellulose is used as sizing in the production of papers and textiles as it protects the fibers from absorbing water or oil.

Bacterial and protozoal motility inhibitor

Aqueous methyl cellulose solutions have been used to slow bacterial and protozoal cell motility for closer inspection. Changing the amount of methyl cellulose in the solution permits the adjustment of the solution's viscosity.

Chemistry

It is a hydrophilic white powder in pure form and dissolves in cold (but not in hot) water, forming a clear viscous solution or gel.

Methyl cellulose is used as a buffer additive in capillary electrophoresis to control electroosmotic flow for improved separations.

 

We are trying our best to supply every chemical you may wish to buy. However, if there is something you can’t find, feel free to contact us and we will find just what you are looking for and offer you a competitive price. For more information or to request a particular product, call customer services or Given website Email address.
vizagchemical@gmail.com

Related Products: 

Share this post

Leave a comment

Filtered HTML

  • Web page addresses and e-mail addresses turn into links automatically.
  • Allowed HTML tags: <a> <em> <strong> <cite> <blockquote> <code> <ul> <ol> <li> <dl> <dt> <dd>
  • Lines and paragraphs break automatically.

Plain text

  • No HTML tags allowed.
  • Web page addresses and e-mail addresses turn into links automatically.
  • Lines and paragraphs break automatically.
CAPTCHA
This question is for testing whether or not you are a human visitor and to prevent automated spam submissions.

Categories